금융의 숨은 수학자들: 옵션 가격 결정과 블랙-숄즈 모형의 전략적 분석

금융의 숨은 수학자들: 옵션 가격 결정과 블랙-숄즈 모형의 전략적 분석
친애하는 독자 여러분, 금융 세계의 겉모습은 종종 차트와 숫자, 거래와 투기라는 이름으로 가득 차 있습니다. 그러나 그 뒤에는 ‘수학’이라는 보이지 않는 언어가 모든 움직임을 설명하고, 예측하며, 통제하고 있습니다. 특히 파생상품 중 옵션(Option)은 수학적 사고의 정수가 녹아든 금융 기법으로, 그 가격을 결정하기 위해 수많은 학문적 연구와 모델들이 등장해왔습니다. 이 글에서는 그 중심에 있는 블랙-숄즈(Black-Scholes) 모형을 중심으로, 금융에 숨겨진 수학자들의 역할을 조명해보고자 합니다.
📚 1. 옵션이란 무엇인가: 위험을 거래하는 기술
옵션이란 미래의 특정 시점에 특정 가격으로 자산을 ‘사거나 팔 수 있는 권리’를 의미합니다. 대표적으로 콜 옵션(Call option)은 매수할 권리, 풋 옵션(Put option)은 매도할 권리를 말합니다. 이 권리는 시장의 불확실성을 헤지하거나 투기 목적으로 활용되며, 그 ‘가격’인 프리미엄(premium)을 어떻게 산정할 것인가가 핵심적 논의가 되어왔습니다.
수학자들은 바로 이 ‘가격 결정’의 문제에 뛰어들어, 리스크와 시간, 가격의 움직임이라는 변수를 수식으로 해석하고자 했습니다. 이들이 만든 모델은 단지 정답을 찾는 것이 아니라, 시장이라는 복잡계의 구조를 수학적 언어로 해석하려는 시도였습니다.
🧠 2. 블랙-숄즈 모형의 탄생과 수학적 기초
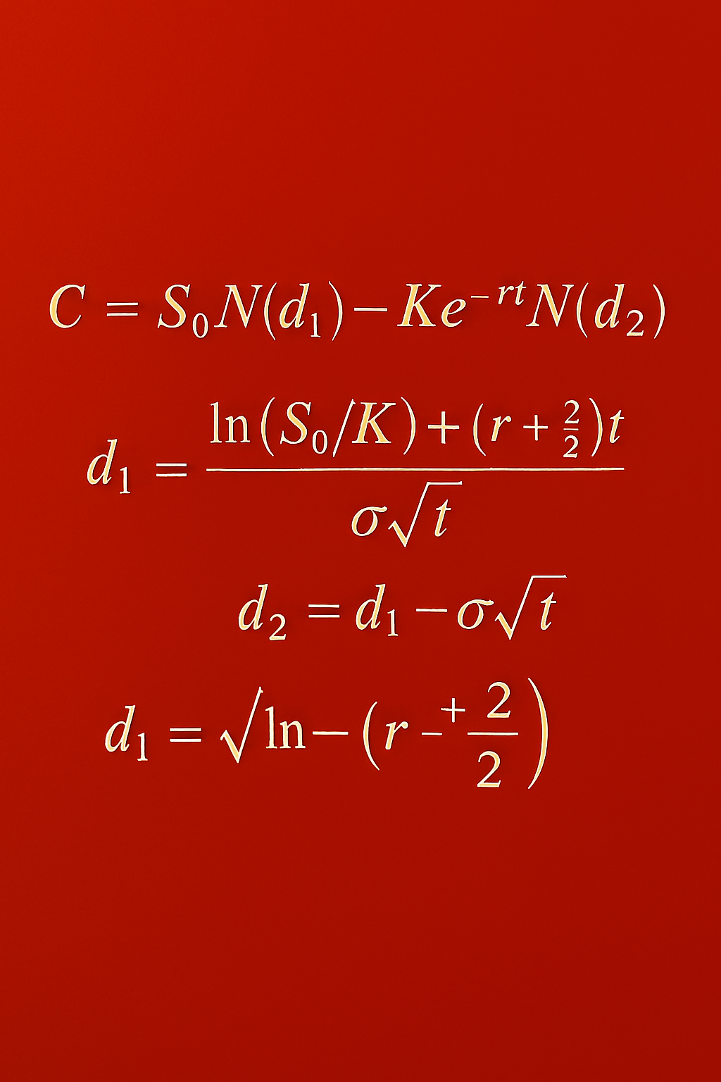
1973년, 피셔 블랙(Fischer Black), 마이런 숄즈(Myron Scholes), 그리고 로버트 머튼(Robert Merton)은 획기적인 논문을 발표합니다. 그들은 확률론과 미분방정식을 기반으로 한 수학적 모델을 통해 옵션의 이론적 가격을 산정하는 방법을 제시하였고, 이는 ‘블랙-숄즈 방정식’이라는 형태로 자리잡았습니다.
해당 모형은 다음의 가정에 기반합니다:
주식 가격은 기하 브라운 운동(Geometric Brownian Motion)을 따른다.
시장은 효율적이며, 단기 차익 거래가 존재하지 않는다.
무위험이자율(r)은 일정하며, 배당이 존재하지 않는다.
옵션은 유럽형으로 만기일에만 행사할 수 있다.
📈 3. 수학의 언어로 리스크를 정량화하다
블랙-숄즈 모형은 옵션의 가격 뿐 아니라 ‘헷징 전략’에도 핵심적 역할을 합니다. 예를 들어, 델타(Δ)라는 수치는 옵션 가격이 기초자산 가격 변화에 얼마나 민감하게 반응하는지를 나타냅니다. 이를 바탕으로 투자자는 포트폴리오의 리스크를 계산하고 제어할 수 있습니다.
또한 감마(Γ), 세타(Θ), 베가(ν), 로(ρ) 등의 ‘그릭 문자들’은 각기 다른 금융 요소에 대한 민감도를 설명하는 변수로서, 금융 트레이더와 리스크 매니저들이 시장을 해석하는 데 있어 필수적인 도구가 되었습니다.
🔬 4. 수학자들의 금융 진출과 퀀트(Quant)의 등장
블랙-숄즈 모형의 성공 이후, 물리학자, 수학자, 통계학자들이 금융 산업으로 빠르게 유입되었습니다. 이들은 ‘퀀트(Quant)’라 불리는 전문가로 변모하며, 금융 시장의 복잡성을 수학적 모델링과 컴퓨터 시뮬레이션을 통해 분석하기 시작했습니다.
대표적으로 몬테카를로 시뮬레이션, 확률론적 트리 모델, 스토캐스틱 프로세스 등을 활용하여 복잡한 파생상품의 가치 평가와 리스크 관리를 가능하게 만들었으며, 그 영향력은 오늘날의 알고리즘 트레이딩과 머신러닝 기반의 자산 운용에도 이어지고 있습니다.
🚨 5. 한계와 새로운 지평
물론 블랙-숄즈 모형에도 한계가 존재합니다. 시장은 종종 비효율적이며, 급격한 변동성과 ‘뚜렷한 꼬리 위험(fat tail risk)’을 동반합니다. 또한 실제 시장에서는 유동성, 거래 비용, 이벤트 리스크 등 복잡한 변수들이 존재하며, 이는 단일 모델로 완전히 포착하기 어렵습니다.
그럼에도 불구하고, 이 모델은 금융수학이라는 분야를 정립하고, 리스크를 정량화하는 방법을 제시하였다는 점에서 기념비적이라 할 수 있습니다. 최근에는 변동성 미소(volatility smile)나 리스크 프리미엄 등을 반영한 확장된 모형들—예컨대 히스-저릿-모튼(HJM) 모델이나 스톡스틱 볼래틸리티 모형—이 새로운 금융지평을 열고 있습니다.
🧩 6. 결론: 금융의 언어는 수학이다
친애하는 여러분, 금융을 움직이는 진짜 동력은 종이 위의 숫자가 아니라 그 숫자 너머의 논리, 수학적 사고에 있습니다. 옵션 가격을 계산하는 일은 단순한 숫자 놀음이 아니라, 불확실성과 시간, 심리와 규제라는 수많은 요소를 수식이라는 언어로 설명하려는 시도입니다.
블랙-숄즈 모형은 그 첫 걸음을 안내해준 ‘금융의 언어 사전’이라 할 수 있으며, 오늘날의 금융 산업은 여전히 이 사전을 참고하며 더 복잡하고 정교한 문장을 써 내려가고 있습니다.
우리가 금융을 이해하고자 한다면, 그 근저에 있는 수학자들의 사유를 들여다보는 것이야말로 가장 의미 있는 시작이 될 것입니다.
#금융수학 #블랙숄즈모형 #옵션가격결정 #수학적사유 #퀀트분석 #파생상품 #위험관리 #수식의미학 #금융모델링 #수학의힘 #정량분석 #시장예측 #금융지성 #헷징전략 #리스크중립 #미분방정식 #확률론 #금융철학 #퀀트의눈 #수학자의세계 #경제학의기초